展示项目下已上线的离线任务,可按需查看任务依赖、运行耗时变化,可对任务进行数据回溯、监控设置等运维操作,同时也可以对任务进行开启/关闭等状态操作。


任务的运维操作包括查看分析任务DAG、查看实例、数据回溯等,相关操作步骤如下:
登录DataLeap控制台。
选择数据开发 > 运维中心 > 离线任务运维 > 任务运维,进入任务运维页面。
可执行以下操作:
操作项 | 说明 |
|---|---|
查看任务DAG | 单击某条信息操作列的任务DAG按钮,查看该任务的上下游依赖关系,血缘展示支持 DAG、列表两种模式。详细说明请参见“查看任务DAG” |
查看实例 | 单击某条信息操作列的查看实例按钮,跳转到实例运维列表,查看该任务对应的运行实例。 |
数据回溯 | 单击某条信息操作列的数据回溯按钮,在弹出的窗口中,设置回溯信息,对该任务进行数据回溯。详细说明请参见“数据回溯”。 |
编辑任务 | 单击某条信息操作列的编辑按钮,可以进入任务开发页面,修改该任务的配置信息。 |
复制任务 | 单击某条信息操作列的更多图标 > 复制按钮,在弹出的复制任务窗口中,选择存储目录,单击确定按钮,可以按照该任务配置,复制并保存新任务到当前项目的指定目录下。 |
移动任务 | 单击某条信息操作列的更多图标 > 移动按钮,在弹出的移动任务窗口中,选择存储目录,单击确定按钮,可以将该任务移动到当前项目的指定目录下。 |
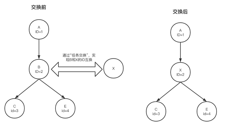
交换任务 | 单击某条信息操作列的更多图标 > 交换按钮,在弹出的任务交换窗口中,可选择将该任务与同项目下同频率的上线任务,进行交换。具体交换效果如下图: 说明
|
修改负责人 | 单击某条信息操作列的更多图标 > 修改责任人按钮,在弹出的修改责任人窗口中,可以变更任务的责任人。修改后直接生效,无需重新发布上线。 |
修改队列 | 单击某条信息操作列的更多图标 > 修改队列按钮,在弹出的修改队列窗口中,可以变更任务使用的yarn队列。修改后直接生效,无需重新发布上线。 注意 批量修改队列时,仅相同集群类型的任务才可以共同批量修改队列。 |
修改标签 | 单击某条信息操作列的更多图标 > 修改标签按钮,在弹出的标签管理窗口中,可以修改任务的标签信息。 |
运行监控 | 单击某条信息操作列的更多图标 > 运行监控按钮,在运行监控设置页面,设置监控规则,单击提交按钮,完成对任务的运行监控设置。 |
质量监控 | 单击某条信息操作列的更多图标 > 质量监控按钮,可以直接跳转到该任务的数据监控配置页面,设置质量监控规则。详细说明可参见“配置Hive模板规则”。 |
添加至基线 | 单击某条信息操作列的更多图标 > 添加至基线按钮,在弹出的添加至基线窗口中,可以将任务添加至已有基线。 |
使用/不使用默认监控 | 单击某条信息操作列的更多图标 > 使用/不使用默认监控复合按钮,可以选择该任务使用/不使用系统默认监控。 |
报警ACK设置 | 单击某条信息操作列的更多图标 > 报警ACK设置按钮,在弹出的报警ACK设置窗口中,可以设置该任务运行触发对应监控时的系统报警信息。 |
历史运行耗时 | 单击某条信息操作列的更多图标 > 历史运行耗时按钮,在弹出的窗口中,可以查看该任务最近30天例行执行时的运行耗时变化。 |
导出下游 | 单击某条信息操作列的更多图标 > 导出下游按钮,在弹出的导出下游窗口中,可以搜索任务,以及将该任务及其全部下游任务以Excel文件的形式导出到本地。 |
开启/关闭 | 单击某条信息操作列的更多图标 > 开启/关闭复合按钮,在弹出的确认对话框中,单击确定按钮,可开启/关闭该任务。 |
删除任务 | 单击某条信息操作列的更多图标 > 删除按钮,在弹出的确认对话框中,单击确定按钮,可以删除该任务。 说明
|
批量运维 | 勾选一个或多个任务,单击列表下方对应的操作按钮,可以批量管理所选任务。 说明 Shell /Python 类型的任务无yarn队列设置,因此队列批量替换时,对此类任务类型不生效。 |
查看任务DAG的步骤如下:
